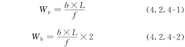
4.2 观众厅 4.2.1 观众厅应符合下列规定: 1 观众厅的设计应与银幕的设置空间统一考虑,观众厅的长度不宜大于30m,观众厅长度与宽度的比例宜为(1.5±0.2):1; 2 楼面均布活荷载标准值应取3kN/m2; 3 观众厅体形设计,应避免声聚焦、回声等声学缺陷; 4 观众厅净高度不宜小于视点高度、银幕高度与银幕上方的黑框高度(0.5~1.0m)三者的总和; 5 新建电影院的观众厅不宜设置楼座; 6 乙级及以上电影院观众厅每座平均面积不宜小于1.0 m2,丙级电影院观众厅每座平均面积不宜小于0.6m2。 4.2.2 观众厅视距、视点高度、视角、放映角及视线超高值,应符合表4.2.2的规定(图4.2.2-1、图4.2.2-2)。 4.2.3 观众厅的地面升高应满足无遮挡视线的要求,并可按下式计算(图4.2.3): Yn=Xn/X0·(Y0-c) (4.2.3) 式中 X0——前一排观众眼睛到设计视点的水平距离(m); Xn——后一排观众眼睛到设计视点的水平距离(m); Y0——前一排观众眼睛到设计视点的垂直距离(m); Yn——后一排观众眼睛到设计视点的垂直距离(m); c——视线超高值,0.12m; Hn——地面升高值(m)。 4.2.4 银幕设置应符合下列规定: 1 采用“等高法”画幅制式配置时,三种制式的银幕高度宜一致,左右宽度可根据画幅高宽比调整(图4.2.4-1)。 2 采用“等宽法”画幅制式配置时,应符合下列规定: 1) 宽银幕和遮幅幕的银幕宽度宜一致,上下高度可根据画幅高宽比调整(图4.2.4-2); 2) 普通幕和遮幅幕的高度宜一致,左右宽度可根据画幅高宽比调整(图4.2.4-2)。 3 采用“等面积法”画幅制式配置时,应符合下列规定: 1) 宽银幕和遮幅幕的面积宜相等,高度可根据画幅高宽比调整(图4.2.4-3); 2) 普通幕和遮幅幕的高度宜相等,宽度可根据画幅高宽比调整(图4.2.4-3)。 4 银幕画面宽度应由放映距离与放映机片门、放映镜头焦距之间的比例关系(图4.2.4-4)确定。普通银幕画面宽度和变形宽银幕画面宽度可分别按式4.2.4-1和式4.2.4-2计算。 式中 b——片门宽度(mm); Wp——普通银幕画面宽度(m); Wb——变形宽银幕画面宽度(m); f——镜头焦距(mm); L——放映距离(m)。 5 银幕应设置坚固的金属银幕架、幕轨、可调节画面的幕框,可设置保护幕。 6 宽银幕在水平方向呈弧面设计时,其曲率半径宜为放映距离L的1.5~2倍(图4.2.2-1)。银幕弧面中点至幕后的墙面距离不宜小于1.2m。当放映距离和银幕宽度的比值大于1.5且银幕宽度不超过10m时,银幕可为平面,银幕至幕后的墙面距离不宜小于1.0m。 4.2.5 不同等级电影院的观众座席尺寸与排距宜符合表4.2.5的规定。 4.2.6 每排座位的数量应符合下列规定: 1 短排法:两侧有纵走道且硬椅排距不小于0.80m或软椅排距不小于0.85m时,每排座位的数量不应超过22个,在此基础上排距每增加50mm,座位可增加2个;当仅一侧有纵走道时,上述座位数相应减半; 2 长排法:两侧有走道且硬椅排距不小于1.0m或软椅排距不小于1.1m时,每排座位的数量不应超过44个;当仅一侧有纵走道时,上述座位数相应减半。 4.2.7 观众厅内走道和座位排列应符合下列规定: 1 观众厅内走道的布局应与观众座位片区容量相适应,与疏散门联系顺畅,且其宽度应符合本规范第6.2.7条的规定; 2 两条横走道之间的座位不宜超过20排,靠后墙设置座位时,横走道与后墙之间的座位不宜超过10排; 3 小厅座位可按直线排列,大、中厅座位可按直线与弧线两种方法单独或混合排列; 4 观众厅内座位楼地面宜采用台阶式地面,前后两排地坪相差不宜大于0.45m;观众厅走道最大坡度不宜大于1:8。当坡度为1:10~1:8时,应做防滑处理;当坡度大于1:8时,应采用台阶式踏步;走道踏步高度不宜大于0.16m且不应大于0.20m;供轮椅使用的坡道应符合现行行业标准《城市道路和建筑物无障碍设计规范》JGJ 50中的有关规定。 4.2.8 当观众厅内有下列情况之一时,座位前沿或侧边应设置栏杆,栏杆应坚固,其水平荷载不应小于1kN/m,并不应遮挡视线: 1 紧临横走道的座位地坪高于横走道0.15m时; 2 座位侧向紧邻有高差走道或台阶时; 3 边走道超过地平面,并临空时。